内蒙古自治区注册税务师协会

内蒙古4家事务所入围2023年度税务师行业信息公告榜单

发表时间:2024-11-26 17:00


2023年度全国税务师行业信息

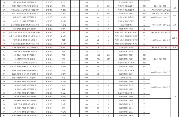
为便于社会各界了解税务师行业发展状况,促进税务师行业依法合规诚信为纳税人缴费人提供优质涉税专业服务,推进税务师行业健康发展,在税收协同共治、优化税收营商环境、服务经济社会高质量发展中发挥积极作用,并接受社会监督,中国注册税务师协会发布了2023年度税务师行业信息榜单,包含全国各省、自治区、直辖市256家事务所相关信息。
内蒙古自治区4家税务师事务所上榜,分别是:沃德税务师事务所(内蒙古)集团有限公司,收入规模2000万元(含)-3000万元;内蒙古立源智信税务师事务所有限责任公司、内蒙古君泽税务师事务所有限公司、内蒙古清源税务师事务所有限责任公司等3家事务所收入规模为1000万元(含)-2000万元。
完整信息见下图:

图片


图片

屏幕截图_26-11-2024_194147_.jpeg



内蒙古自治区税务师协会